为优化人才结构
加强事业单位人才队伍建设
根据相关规定
经市人力社保局备案
云阳县决定面向社会公开招聘一批事业单位工作人员
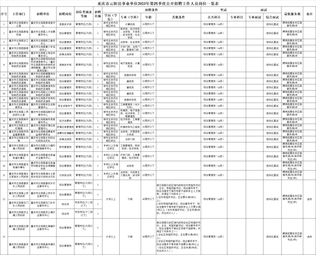
01
招聘单位及人数
本次面向社会公开招聘工作人员27名。

02
报名时间及要求
本次公开招聘采取网上报名的方式进行,不接受其他方式报名。
考生在2023年12月10日上午9:00时至2023年12月14日上午9:00时期间登录报名网站(http://wlexam.com:26678/yygz)进入报名系统,按规定的流程和要求,填写报名信息,提交报考申请。考生只能选择一个单位中的一个岗位进行报名,报名与考试时使用的身份证必须一致。
03
笔试时间及要求
笔试时间初定为2023年12月23日(星期六),具体时间及地点详见准考证。
云阳报第20200806期
